당신도 좋아할 수 있습니다

    沉寂多年,IL-18亚家族迎来全新研究突破!

    沉寂多年,IL-18亚家族迎来全新研究突破!

    October 24, 2024
    ~에 공유:

    在免疫系统调节中,白细胞介素-1(Interleukin-1,IL-1)家族因其多样性和广泛的生物学功能备受关注。今天我们将聚焦IL-1家族的一个重要亚家族--IL-18亚家族,以及其相关的受体靶点,揭示这些靶点在药物研发中的潜力。

    IL-18亚家族包括促炎细胞因子IL-18和抗炎细胞因子IL-37,这些细胞因子已被广泛认为在免疫调节中发挥重要作用。

    IL-18亚家族是如何在机体发挥作用的?

    IL-18是IL-1家族的重要成员,最初被称为干扰素γ(IFN-γ)诱导因子。它不仅参与天然免疫,还能激活辅助性T细胞,诱导强效的Th1型免疫反应。IL-18通过与其特异性受体IL-18R结合,启动细胞内的信号传导,激活NF-κB 和 AP-1 等转录因子,进而促进IFN-γ、TNF-α和IL-1等炎症因子的分泌,增强免疫反应[1]。同时,IL-18的活性受到IL-18结合蛋白(IL-18BP)的精确调控。IL-18BP作为IL-18的天然拮抗剂,通过与IL-18高亲和力结合,阻止其与IL-18R相互作用,从而抑制IL-18的促炎作用,帮助维持炎症反应的平衡[2]

    IL-18与IL-12具有协同作用,共同促进免疫反应。作为抗原呈递细胞(APC)响应刺激信号分泌的关键细胞因子,IL-18和IL-12在增强NK细胞活性、促进IFN-γ产生以及调节免疫反应中发挥着至关重要的作用。研究表明,IL-18是NK细胞响应IL-12产生IFN-γ所必需的,两者的共刺激能够显著增强NK细胞的脱颗粒作用和IFN-γ的产生[1]。这种协同作用在增强机体抗感染和抗肿瘤的免疫能力方面尤为关键。

    而IL-37在机体内通过多种机制发挥抗炎作用,主要包括与IL-18Rα和SIGIRR受体结合,抑制促炎性信号通路(如NF-κB和MAPK),减少免疫细胞的活化和促炎细胞因子的释放。此外,IL-37还调节适应性免疫反应,抑制T细胞过度活化,并通过进入细胞核调控促炎基因的表达[3]。这些作用机制使IL-37在抑制炎症反应、维持免疫平衡以及治疗炎症性和自身免疫性疾病中发挥重要作用。

    图1. IL-18信号传导[1]

    IL-18亚家族药物研究进展

    靶向IL-18:

    数据库检索靶向IL-18的药物研究情况显示,全球范围内已有多款与IL-18及其受体相关的药物进入临床研究阶段,但目前尚无靶向IL-18药物上市。其中,进展最快的是AB2 Bio生物技术公司的Tadekinig alfa(重组人IL-18结合蛋白,r-hIL-18BP),该药物目前已进入临床三期研究,主要用于治疗由原发性单基因IL-18驱动的噬血细胞性淋巴组织细胞增生症(HLH)。

    诺华的CMK-38单克隆抗体目前处于临床二期研究阶段,作为一种靶向IL-18的药物,主要用于治疗炎症性疾病以及肺部结节病。此外,诺华的IL-1β/IL-18双特异性抗体也已进入临床二期研究,旨在治疗婴儿结肠炎、炎症性疾病及自身免疫性疾病等。

    更多药物研究进展如下表

    整理自科睿唯安数据库

    靶向IL-37:

    目前尚无针对IL-37的特异性药物进入临床研究阶段。但IL-37 强大的抗炎和免疫调节作用显示出其在多种炎症性疾病、自身免疫疾病、心血管疾病、肿瘤治疗等领域具有广泛的潜在临床应用前景。

    百奥动物自主开发了一系列IL-18亚家族及受体相关靶点人源化鼠,助力药物临床前研究。

    B-hIL18 mice

    蛋白表达分析:

    纯合B-hIL18小鼠中IL18表达的品系特异性分析(ELISA)。从野生型C57BL/6小鼠(+/+)和纯合B-hIL18小鼠(H/H)中收集血清,使用物种特异性IL18 ELISA试剂盒进行ELISA分析。在纯合B-hIL18小鼠中检测到人IL18,而在野生型小鼠中检测不到,小鼠IL18仅在野生型小鼠中检测到。

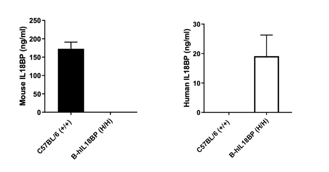
    B-hIL18BP mice

    蛋白表达分析:

    纯合B-hIL18BP小鼠中IL18BP表达的品系特异性分析(ELISA)。从野生型小鼠(+/+)和纯合B-hIL18BP小鼠(H/H)中收集血清,使用物种特异性IL18BP ELISA试剂盒进行ELISA分析。在野生型小鼠中可检测到小鼠IL18BP。在纯合B-hIL18BP小鼠中仅能检测到人IL18BP,而在野生型小鼠中检测不到。

    百奥动物IL-18亚家族相关产品列表

    参考文献

    [1] Yasuda K, Nakanishi K, Tsutsui H. Interleukin-18 in Health and Disease.

    Int J Mol Sci. 2019;20(3):649. Published 2019 Feb 2. doi:10.3390/ijms20030649

    [2] Wang X, Wang L, Wen X, Zhang L, Jiang X, He G. Interleukin-18 and IL-18BP in inflammatory dermatological diseases.

    Front Immunol. 2023;14:955369. Published 2023 Jan 18. doi:10.3389/fimmu.2023.955369

    [3] Kaplanski G. Interleukin-18: Biological properties and role in disease pathogenesis.

    Immunol Rev. 2018;281(1):138-153. doi:10.1111/imr.12616